サイトロゴ

糖尿病合併症の発症予測バイオマーカー

血中のCtBP2の測定によって、血糖値だけでは判定が難しい糖尿病関連腎症や心臓病のリスクの高さを予測できる

Advantages

血中のCtBP2の測定によって、血糖値だけでは判定が難しい糖尿病関連腎症や心臓病のリスクの高さを予測できる
- 臨床的意義: 血中CtBP2濃度を測定することで、糖尿病患者における主要な合併症(腎症、心血管疾患など)の発症リスクを予測し、医師の血糖コントロールに関する治療介入の判断を補助できる 。

Background and Technology

糖尿病治療において、将来の合併症発症リスクを事前に把握することは、患者一人ひとりに対する治療を最適化する上で有用な情報となる。例えば、高リスクと判明した患者には、副作用や医療コストを許容してでも厳格な血糖管理や集中的な治療を行うという判断が可能になる。逆に、低リスク患者には過剰な医療介入を避け、より安全で穏やかな治療を選択できるため、リスク予測は「個別化医療」の実現に大きく貢献することが期待される。
CtBP2(C-terminal Binding Protein 2)は、NADHや脂肪酸CoAなどの細胞内の代謝物を感知し、代謝関連遺伝子の発現を調節する代謝センサー分子である。糖尿病においてCtBP2の機能が破綻すると、代謝制御に異常が生じることが示唆されている。
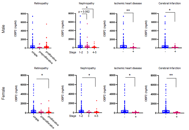
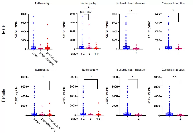
今回、発明者らは糖尿病患者を対象として血清中のCtBP2の測定を行ったところ、CtBP2レベルが低い人ほど腎症や心血管系のリスクが高く、脳梗塞のリスクも高い傾向があることを明らかにした。これらの結果は、血中CtBP2濃度が高値の糖尿病症例では合併症が少ない可能性を示唆しており、糖尿病診療における合併症の出現を予測するバイオマーカーとしての利用が期待される。

Data

- 糖尿病患者を対象として血清中のCtBP2濃度を測定した結果、 糖尿病合併症(腎障害、虚血性心疾患、脳梗塞)の少ない症例で高値を示した。

Expectations

筑波大学では本技術を用いた糖尿病合併症の発症を予測するバイオマーカーの開発を共同で行っていただける診断薬企業様を探しています。筑波大学との秘密保持契約締結による未公開データ等の開示のほか、研究者との直接のご面談によるお打合せも可能です。

Principal Investigator

関谷 元博 准教授 (筑波大学 医学医療系) ほか

Patents and Publications

Patents
特許第6894119号、出願中(未公開)特許あり

Publication
Sekiya, M et al., Cell Reports. Vol. 42, Issue 8, 112914 August 29(2023) 
DOI: https://doi.org/10.1016/j.celrep.2023.112914
Sekiya, M et al., Nature Communications. 12:6315 (2021) 
DOI: https://doi.org/10.1038/s41467-021-26638-5
Nature Aging (2025) in press

プロジェクト番号:wl-05166c