サイトロゴ

核酸アナログのリン酸プロドラッグ化合物の開発

フルオロリン酸アミデートを生体適合性官能基として備えたフロリド型リン酸プロドラッグの開発。

Advantages

フルオロリン酸アミデートを生体適合性官能基として備えたフロリド型リン酸プロドラッグの開発。
- 低い細胞毒性。
- 細胞内での制御された脱保護。
- 様々な核酸アナログへの応用が可能なプラットフォーム技術。

Current Stage and Key Data

- ディスカバリーおよび最適化研究段階(リクエストに応じたプロドラッグ化合物設計可能)。
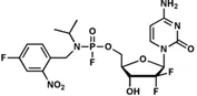
- 複数種の核酸アナログについて本発明のフロリド型リン酸プロドラッグを合成した。また、脱保護条件に応じた複数種の置換基を設計し評価した。右図は本発明のゲムシタビンプロドラッグの例。
- 本発明のフロリド型リン酸プロドラッグは、細胞内に取り込まれ、モノリン酸化された。また、脱保護による正常細胞への毒性を示さなかった。
- 膵癌のゲムシタビン耐性細胞株を用いたin vitro実験で、本発明のゲムシタビンプロドラッグは、既存のProTide型プロドラッグよりも、高い抗がん作用を示した。

Background

核酸アナログは、代謝拮抗剤として抗がん剤(ゲムシタビン、シタラビン等)や抗ウイルス剤(ラミブジン、ジドブジン等)として使用されている。これらは、細胞内でモノリン酸化された後、トリリン酸体(活性体)へと変換されて、がん細胞やウイルスの増殖に必要なDNAやRNAの合成を阻害する。しかし、標的細胞は、核酸アナログの細胞内移行の抑制、細胞内リン酸化の抑制、分解の促進等の耐性機構を発現してしまう。それらの耐性を回避するために、BisPOM型やProTide型などリン酸プロドラッグ体が各種開発されているが、脱保護時に毒性物質を放出することや脱保護条件が限られていることが課題であった。
本発明は、これまでにないフロリド型リン酸プロドラッグ化合物であり、細胞毒性が低く、細胞内での脱保護も制御できるプロドラッグ化合物である。

Expectations

- 提携企業のリクエスト応じて、核酸アナログのフロリド型リン酸プロドラッグを設計・評価する共同研究開発。
- 提携企業の候補例:バイオテック企業、製薬企業、CDMO、など

Principal Investigator

阿部洋 教授(東海国立大学機構 名古屋大学大学院理学研究科)

Patents and Publications

特開2022-117326(審査中)

プロジェクト番号:bk-04901