サイトロゴ

IDO1阻害剤とCOX2阻害剤の併用によるがん治療

免疫回避機構とがん代謝に着目した薬物併用療法

Advantages

免疫回避機構とがん代謝に着目した薬物併用療法
- IDO1阻害剤とCOX-2阻害剤の併用で強力な抗腫瘍効果が期待される
- NSAIDとの併用は動物医療にも応用が期待される
- IDO1安定発現細胞株を用いた独自の評価系により、短時間・効率的・確度高く、併用薬を選択することができる

Background and Technology

がん細胞の免疫逃避機構は抗がん剤開発の重要な標的の一つである。トリプトファン(Trp)の代謝産物であるキヌレニンは、がんに対する免疫寛容を誘導する調節因子であり、この経路を調節する酵素であるインドールアミン-2,3-ジオキシゲナーゼ1(IDO1)は、がん免疫療法の新たな標的として注目されている。複数のIDO1阻害剤ががん治療薬候補として開発され、臨床試験に進んだものの、期待される優位性が示されず、多くの薬剤が開発中断に至っている。これは、IDO1阻害作用だけでは治療効果が不十分であることを示唆しており、他の薬剤との併用などの新たな開発戦略が必要とされている。
発明者らは、IDO1高発現株(CT26-IDO1)を用いたマウス移植モデルを確立し、腫瘍のトランスクリプトーム解析を実施した。その結果、野生型CT26移植モデルと比較して、CT26-IDO1移植モデルではCOX2の発現が有意に上昇していることが明らかになった。
これらの結果を受け、IDO1阻害剤(Epacadostat)とCOX-2阻害剤(Celecoxib)を併用投与し、CT26-IDO1腫瘍の増殖抑制効果を評価した。その結果、併用投与群において有意な腫瘍増殖抑制作用が確認された。さらに、IDOが高発現しているイヌの尿路上皮ガン症例に対して、IDO1阻害剤とCOX-2阻害剤(Piroxicam)の併用による治療効果も確認され、動物薬としての開発も有望であることが示された。

Data

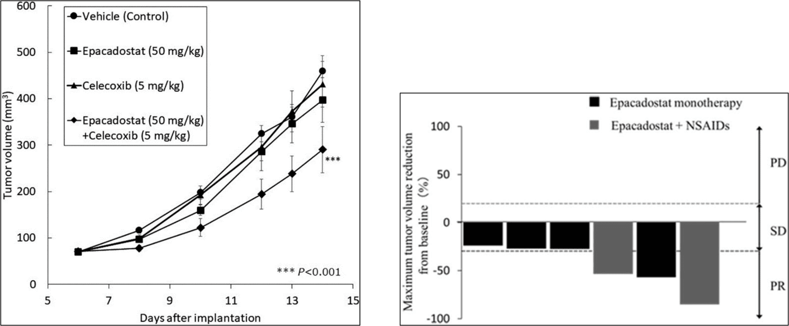
- T26-IDO1移植マウスモデルに対し、Epacadostat(50mg/kg)とCelecoxib(5mg/kg)を投与したところ、単剤では効果を示さなかったが、併用では効果が示された。
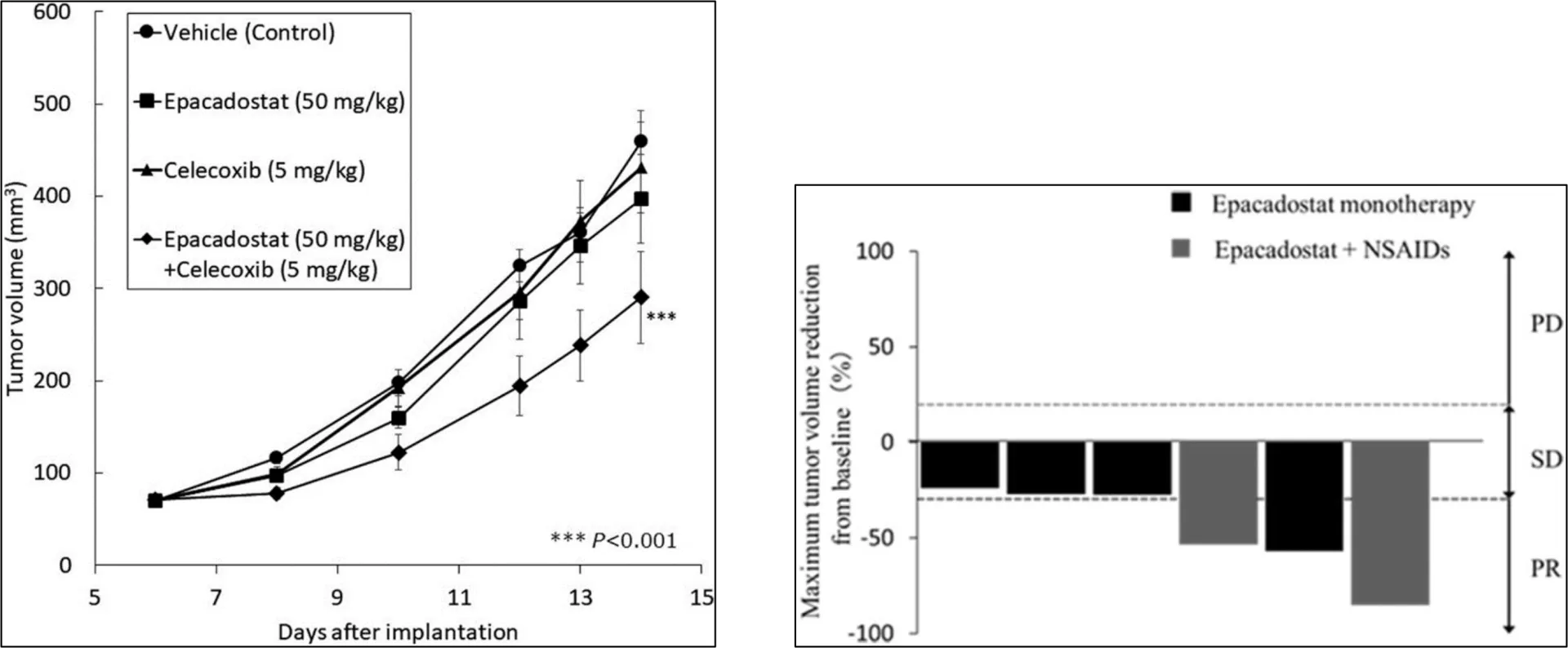
- イヌ尿路上皮ガン症例に対して、Epacadstat単独投与(5mg/kg、1日2回経口:図中■)で部分奏功(PR)が25%(4例中1例)、安定(SD)が75%(4例中3例)であった。EpacadstatとPiroxicam(0.3mg/kg、1日1回経口:図中■)の併用投与では、部分奏功(PR)が100%(2例中2例)であった。グレード3以上の重大な副作用は認められなかった。

Expectations

IDO1阻害剤の開発を進めるための戦略としてCOX2阻害剤との併用療法の臨床開発に関心のある企業へのライセンスを提案します。また、動物薬のがん治療薬への展開に関心のある企業とのコラボレーションも歓迎します。

Principal Investigator

浅井 章良 先生(静岡県立大学)他5名

Patents and Publications

特許出願中(未公開)

プロジェクト番号:wl-04992